Hasta 1956 todavía era necesario ponerse de rodillas para poder dejar el suelo reluciente; una pluma era lo único con lo que podíamos escribir hasta 1938 y, pese a lo sencillo que pueda parecer, no se consiguió dar con la fórmula matemática del botijo hasta 1995.
Hoy desde Remica, como expertos que somos en eficiencia, hemos querido rescatar cinco inventos que han ayudado a hacer que nuestras tareas sean más eficientes.
El botijo
No hay clima cálido que se le resista: el botijo es capaz de enfriar el agua hasta 10 grados en condiciones óptimas. Varios estudios apuntan su origen se en la culturas mesopotámicas en las que se utilizaban este tipo de recipientes de arcilla o barro poroso, con formas redondeadas y dos aberturas, una más ancha para poder echar el agua y otra más estrecha para poder beber.
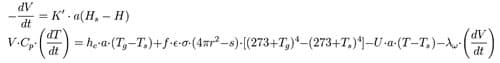
Mirando su forma parece muy sencillo, pero tal y como recoge teknoplof.com, su formulación matemática no lo es tanto. Veamos: la eficiencia de éste se basa en que agua contenida en él, al ser éste de un material poroso, se filtra hacia la superficie exterior donde, por efecto de las altas temperaturas, se evapora. Ese cambio líquido a gaseoso necesita energía calorífica, y parte de esta energía se extrae de la propia masa de agua contenida en el interior, que disminuye su temperatura.
¿Sencillo? Pues… pese a lo que pueda parecer hace sólo unos años que se ha conseguido dar con la teoría matemática que recogería este proceso. De hecho, en 1990, un profesor de química de la Universidad Politécnica de Madrid, Gabriel Pinto, intentó sin éxito integrar en una solar fórmula todas las variables que hacían que el botijo se enfriase. Más tarde, en 1995, otro profesor de la misma Universidad, José Ignacio Zubizarreta, se propuso completar la ecuación. Lo consiguió. En el número 29 de la revista norteamericana Chemical Engineering Education, ambos profesores publicaban, ahora sí, la fórmula del botijo.
La Fregona
Por simple que pueda parecer, este eficiente objeto de limpieza, que ahorra un sinfín de energía a aquellos que se esfuerzan por dejar sus suelos brillantes, no se le ocurrió a nadie hasta 1956. La persona que lo inventó fue un ingeniero y oficial del Ejército del Aire, Manuel Jalón Corominas.
En su forma original, el invento, que se probó por primera vez en Zaragoza, contaba con un palo de escoba que en la parte inferior disponía de un penacho de tiras de algodón. Éstas se escurría en un cubo con rodillos que se accionaban con un pedal. Poco a poco el invento se fue perfeccionando hasta que en 1965 empezó a frabricarse en plástico y con la apariencia con que hoy la conocemos.
El bolígrafo
El periodista húngaro László József Bíró, gracias a su profesión, comenzó a interesarse en desarrollar un método más eficiente que la pluma ya que staba harto de los problemas que ésta le acarreaba al escribir.
Durante un tiempo estuvo tratando de desarrollar la idea centrándose en cambiar el tipo de tinta. Para ello, pidió ayuda a su hermano, György Bíró, que era químico de profesión. Pero, por suerte (ahora veremos por qué) no le dio resultado.
El periodista no cesó en su búsqueda y un día, mientras veía a unos niños jugando con canicas sobre un suelo con charcos, se le encendió la bombilla: las bolas, al atravesar y sobrepasar un charco de agua, dibujaban tras de sí una línea húmeda sobre la superficie seca de la calle. Así nació el prototipo de bolígrafo que patentó ese mismo año (1938).
Caldera de condensación
Este tipo de calderas son un paso más en el sector de la eficiencia energética, de hecho, se dice que su rendimiento puede llegar a alcanzar hasta el 109%. ¿Imposible? No, verás por qué. Mientras las calderas convencionales desaprovechan el propio calor que desprenden al generar energía, las de condensación lo utilizan para aumentar su producción.
Para entenderlo, hemos de tener en cuenta que durante el proceso de condensación se produce un cambio de fase de una sustancia en estado gaseoso a estado líquido. Durante ese proceso se libera energía, a la que se denomina ‘calor latente’. Es precisamente ese calor el que aprovechan las calderas de condensación para aumentar su rendimiento y por ende, para ahorrar energía.
De este modo, mientras en las calderas convencionales se pueden llegar a alcanzar temperaturas de hasta 180º que generan vapor de agua que se expulsa junto al resto de gases convencionales, en las calderas de condensación se reduce la temperatura de esos gases por debajo de la temperatura de rocío (temperatura en la que el vapor de agua pasa de estado gaseoso a líquido) para que se condensen y así poder aprovechar el calor latente. Esa energía que se libera en forma de calor es la que se aprovecha para calentar el agua del circuito. Por ello, el rendimiento de este tipo de calderas supera el 100%, porque ofrecen un resultado superior al que podrían conseguir sólo a través del combustible.
Las luces led
Para que nos hagamos una idea de la importancia de este invento, debemos tener en cuenta que una bombilla incandescente produce 16 lumens (unidad de medida de la potencia de luz) por cada vatio que recibe. Los fluorescentes son cinco veces más eficientes, mientras que los LED producen 300 lumens por cada vatio. Es decir, tienen una eficiencia 19 veces superior a la de las bombillas tradicionales. Si tenemos en cuenta que cada año alrededor de una cuarta parte de la electricidad que generamos se usa para el alumbrado, el invento supone un importante avance en la reducción del consumo energético.
De hecho, la propia Academia Sueca reconoció el invento otorgando el Premio Nobel de Física de 2014 a Isamu Akasaki, Hiroshi Amano (ambos japoneses) y Shuji Nakamura (estadounidense de origen japonés) por el desarrollo de los LED azules de tipo eficientes. Pese a que los LED fueron inventados hace décadas, hubo que esperar a finales de los años 80 y principios de los 90 para que llegara este nuevo diodo emisor de luz azul de mano de los premiados. Gracias a su eficiencia y a su capacidad de producir luz blanca, los LED pudieron entrar en el mercado de la iluminación.
Y tú, ¿qué invento eficiente destacarías?
Fuentes: Xarxatic.com; Saberespractico.com; teknoplof.com




